Eksperimentos ar plānu savācējlēcu uz ekrāna novēro skaidrus spuldzes kvēldiega attēlus.
Attēla lineāro palielinājumu \(\Gamma\) un priekšmeta attālumu d līdz lēcai saista sakarība \(\Gamma = \frac{F}{d - F}\), kur \(F\) ir lēcas fokusa attālums.
1. Izmantojot datu bukletā pieejamās sakarības, parādi, kā var iegūt \(\Gamma = \frac{F}{d - F}\)! (3 punkti)
2. Kā ir jāmaina priekšmeta attālums \(d\) līdz lēcai, lai kvēldiega attēls uz ekrāna palielinātos? Izmanto sakarību \(\Gamma = \frac{F}{d - F}\) un pieņem, ka \(d > F\)! (1 punkts)
Zināms, ka izliektas gaisā novietotas stikla lēcas sakopo gaismas starus, bet ieliektas lēcas izkliedē gaismas starus.
3. Izveido aizklātajā zīmējuma daļā divu plānu lēcu darbības sistēmu, kas palielinātu paralēlo staru kūļa diametru no \(D_1\) uz \(D_2\)! (3 punkti)

4. Aizklātajā daļā ieejošā gaismas staru kūļa diametrs \(D_1\) ir 3 cm. Izejošā gaismas staru kūļa diametrs \(D_2\) ir 5 cm. Skaidro, kā un cik reižu lēcu sistēma izmaina apgaismojumu uz ekrāna salīdzinājumā ar situāciju bez lēcu sistēmas! Pieņem, ka lēcas gaismu neatstaro un neabsorbē! (3 punkti)
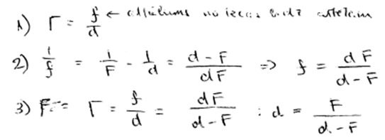
1. Fizikas formulu lapā sadaļā Ģeometriskā optika atrodamas sakarības: \(D = \frac{1}{F} = \frac{1}{f} + \frac{1}{d} \qquad \Gamma = \frac{|f|}{d} = \frac{H}{h}\)
Tālāk atliek risināt matemātikas uzdevumu. Redzams, ka pierādāmā sakarība nesatur attēla attālumu līdz lēcai \(f\), tātad to ir jāizslēdz – vienā no datu bukletā atrodamajām sakarībām jāizsaka \(f\) ar pārējiem lielumiem. Pēc tam iegūto\(f\) izteiksmi jāievieto otrā sakarībā un jāizska \(\Gamma\).
Izteiksmi vienkāršojot tiek iegūta pierādāmā sakarība: \(\frac{1}{F} = \frac{1}{d} + \frac{1}{f} \;\Rightarrow\; f = \frac{dF}{d - F} \;\Rightarrow\; \Gamma = \frac{f}{d} = \frac{dF}{d(d - F)} = \frac{F}{d - F}\)
2. Lai kvēldiega attēls uz ekrāna palielinātos, attālums \(d\) jāsamazina.
Izteiksmes \(\Gamma = \frac{F}{d - F}\) saucējā ir izteiksme \(d-F\). Jo mazāks saucējs, jo lielāka lineārā palielinājuma \(\Gamma\) vērtība.
3. Uzdevumā dotajā attēlā redzams, ka uz pirmo lēcu krīt paralēlu staru kūlis un, pēc lūšanas otrejā lēcā, tas joprojām ir paralēlu staru kūlis. Lai atrisinātu uzdevumu, jāatceras staru gaita plānās lēcās:

Šajās optiskajās shēmās:
Galvenā optiskā ass (O1O2) – taisne, kas iet caur lēcas sfērisko robežvirsmu centriem.
Optiskais centrs (O) – galvenās optiskās ass krustpunkts ar lēcu.
Fokuss (F) – punkts, kurā, pēc laušanas lēcā, krustojas visi stari, kas uz lēcu krīt paralēli galvenajai optiskajai asij (savācējlēcā).
Šķietamais fokuss (F’) – punkts, kurā, pēc laušanas lēcā, krustojas visu to staru turpinājumi, kas uz lēcu krīt paralēli galvenajai optiskajai asij (izkliedētājlēcā).
Tātad – ja pirmais paralēlo staru kūlis krīt uz savācējlēcu, stari krustojas lēcas fokusā. Lai otrā savācējlēca veidotu paralēlu staru kūli, stariem ir jākrīt uz šo lēcu, nākot no fokusa. Tas nozīmē, ka abu savācējlēcu fokusiem jāsakrīt. Turklāt otrās lēcas fokusa attālumam jābūt lielākam, lai staru ceļš līdz tai būtu garāks un stari vaitrāk izkliedētos, attālinātos viens no otra.
Iespējams arī cits optiskās sistēmas variants. Parēlu staru kūlis vispirms krīt uz izkliedētājlēcu, kura kūli "izvērš" – stari turpina savu gaitu tā, it kā nāktu no viena punkta – šķietamā fokusa. Ja šā izklīstošā staru kūļa ceļā novieto savācējlēcu, stri atkal tiek "savākti". Lai panāktu, ka izejošais staru kūlis ir paralēlu staru kūlis, uz savācējlēcu krītošajiem stariem jānāk no fokusa. Tas nozīmē, ka savācējlēcas fokusam jāsakrīt ar izkliedētājlēcas šķietamajo fokusu. Tas acīmredzami nozīmē, ka savācējlēcai fokusa attālums ir lielāks nekā izkliedētājlēcai.
Var spriest arī tā – atcerēties jau zināmo par teleskopiem. Divu savācējlēcu sistēma faktiski atbilst "apgrieztam" Keplera teleskopam, kamēr izkliedētājlēcas + savāvcējlēcas variants – "apgrieztam" Galileja teleskopam:

Atbilde:

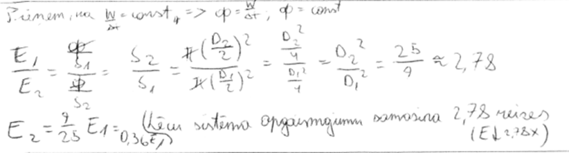
4. Uzdevumā teikts, ka lēcas gaismu neatstaro un neabsorbē, tātad visa gaismas enerģija, kas kaut kādā laika intervālā krīt uz pirmo lēcu, izkļūst cauri abām lēcām. Tātad, gaismas plūsmu šī lēcu sistēma neizmaina.
Apgaismojumu definē kā gaismas plūsmu, kas krīt uz laukuma vienību. Tātad – jo uz lielāku laukumu krīt gaismas plūsma, jo mazāks ir apgaismojums. Uzdevumā dotie staru kūļu diametri ļauj aprēķināt izgaismoto laukumu lielumus \(S_1\) un \(S_2\). Faktiski laukumus aprēķināt nav nepieciešams, jo vajadzīga tikai to attiecība. Jāuzmanās no būtiskas kļūdas! Datu bukletā atrodama arī sakarība, kas apraksta apgaismojuma atkarību no attēluma līdz gaismas avotam. Šī sakarība neatbilst uzdevuma situācijai, tādēļ nav izmantojama, lai gan skaitliskais rezultāts, ievietojot izgaismotā laukuma rādiusu \(R\) attāluma līdz gaismas avotam \(R\) vietā, ir vienāds.
Atbilde:
\(E = \frac{\Phi}{S} \\ \frac{E_1}{E_2} = \frac{D_2^2}{D_1^2} = \frac{25}{9} = 2{,}79\)
Apgaismojums samazinās \(\frac{25}{9} \approx 2{,}8 \; (\approx 3)\) reizes vai \(E_2 = 0{,}36\,E_1\).
1. Vērtēšanas kritēriji
- uzraksta datu bukletā pieejamās sakarības: lēcas formulu un lēcas palielinājuma formulu – 1 punkts;
- izmantojot abas sakarības, uzraksta izteiksmi, kas neiekļauj attēla attālumu līdz lēcai vai izsaka no lēcas formulas attēla attālumu līdz lēcai – 1 punkts;
- pārveido izteiksmi, iegūstot prasīto sakarību – 1 punkts.
Skolēnu risinājumu un to vērtējumu piemēri
1. piemērs: risinājums novērtēts ar 3 punktiem.

2. piemērs: risinājums novērtēts ar 2 punktiem. Izvedums nepilnīgs (rezultāts uzrakstīts, bet trūkst vairāku izveduma soļu).

3. piemērs: risinājums novērtēts ar 1 punktu. Pareizi tikai formulas no formulu lapas.

2. Vērtēšanas kritēriji
Parāda, ka attalums \(d\) jāsamazina – 1 punkts. Pamatojums nav obligāts.
3. Vērtēšanas kritēriji
Vērtē līmeņos
Lai iegūtu 3 punktus, jāizpildās sekojošiem kritērijiem:
- iezīmētas vai pareizi apzīmētas divas lēcas: izkliedētājlēca pirms savācējlēcas vai divas savācējlēcas;
- ņemts vērā, ka lēcu fokusi sakrīt;
- parādīta staru gaita lēcu sistēmā; stari starp lēcām nelūst un neliecas.
Skolēnu risinājumu un to vērtējumu piemēri
1. piemērs: risinājums novērtēts ar 3 punktiem.

2. piemērs: risinājums novērtēts ar 3 punktiem.

3. piemērs: risinājums novērtēts ar 2 punktiem. Norādīti fokusi, kas nesakrīt.

4. piemērs: risinājums novērtēts ar 1 punktu. Attēlota derīga lēcu sistēma, nav parādīta staru gaita, kas neļauj spriest par fokusiem.

5., 6. piemēri: risinājumi novērtēti ar 0 punktu.


4. Vērtēšanas kritēriji
• izmanto ideju, ka gaismas enerģija vienāda, apgaismojums proporcionāls enerģijai uz laukuma vienību – 1 punkts;
• secina, ka apgaismojums samazinās – 1 punkts;
• aprēķina, cik reizes apgaismojums mainās, izmantojot apļa diametra un laukuma sakarību: samazinās 2,8 reizes vai palielinās 0,36 reizes – 1 punkts.
Skolēnu risinājumu un to vērtējumu piemēri
1. piemērs: risinājums novērtēts ar 3 punktiem.

2. piemērs: risinājums novērtēts ar 2 punktiem. Izmantota sakarība \(E = \frac{\Phi}{S}\) un secināts, ka apgaismojums samazinās, taču nav korekti aprēķināts, cik reizes tas mainās.
