Dārznieks izmanto zāles pļaujmašīnu, kuras motors griež vienīgi zāles pļaušanas asmeni. Dārznieks vienmērīgi stumj zāles pļaujmašīnu, kuras masa ir \(20\,\text{kg}\). Dārznieks pieliek pļaujmašīnai \(100\,\text{N}\) lielu spēku leņķī \(\alpha = 60^\circ\) pret horizontu. Pieņem, ka \(g = 9{,}8\,\text{m/s}^2\)! Attēls nav uzzīmēts mērogā.

1. Zīmējumā ir attēlots kopējais pretestības spēks, kas darbojas uz pļaujmašīnu. Attēlo vēl trīs spēkus, kas darbojas uz zāles pļaujmašīnu! Pieraksti spēku apzīmējumu un nosaukumu! (3 punkti)

2. Aprēķini kopējo pretestības spēku, kas darbojas uz zāles pļaujmašīnu! (2 punkti)
3. Aprēķini normālo reakcijas spēku uz pļaujmašīnu! (2 punkti)
4. Strādājot dārznieks aizdomājas par to, ka vieglāk pļaujmašīnu būtu nevis stumt, bet vilkt, pieliekot tai tikpat lielu spēku tādā pašā leņķī kā iepriekš. Argumentē, kādēļ pļaujmašīnu ir vieglāk vilkt nekā stumt, pieliekot spēku tādā pašā leņķī kā iepriekš! (3 punkti)
1. Jāattēlo trīs spēki. Fizikā spēkus, kas darbojas uz ķermeni, attēlo ar spēka vektoriem. Spēka vektoram ir:
- sākumpunkts— spēka pielikšanas punkts ķermenim (ja var neievērot ķermeņa formu un izmērus, spēkus zīmē pieliktus masas
centram); - virziens — parāda, kādā virzienā spēks darbojas;
- garums — jo lielāks spēks, jo lielāks spēka vektora garums.
Uzdevumā teikts, ka dārznieks pļaujmašīnu stumj ar \(F_{\text{stum}} = 100\,\text{N}\) lielu spēku. Šis ir viens no spēkiem, kas darbojas uz pļaujmašīnu. Spēka pielikšanas punkts var būt pļaujmašīnas aptuvenais masas centrs vai arī rokturis.
Uz pļaujmašīnu darbojas smaguma spēks \(F_{\text{sm}} = mg\)
Tā kā pļaujmašīna pārvietojas horizontāli, tad pa vertikāli vērsto spēku summai jābūt vienādai ar nulli. Pļaujmašīna darbojas uz zemi ar spēku, kas vienāds ar dārznieka pieliktā spēka vertikālās komponentes un smaguma spēka summu. Saskaņā ar Trešo Ņūtona likumu, uz pļaujmašīnu darbojas tik pat liels balsta reakcijas spēks \(F_{\text{BR}}\).
Šoreiz, saskaņā ar uzdevuma nosacījumiem, spēkus var nezīmēt mērogā, tomēr korekti būtu balsta reakcijas spēku attēlot ar garāku bultiņu nekā smaguma spēku, ja tas ir attēlots, pielikts masas centram.
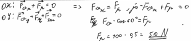
2. Pļaujmašīna pārvietojas horizontāli. Uzdevumā teikts, ka dārznieks pļaujmašīnu stumj vienmērīgi. Tātad, saskaņā ar Pirmo Ņūtona likumu, pretestības spēks vienāds ar dārznieka pieliktā spēka horizontālo komponenti.
\(F_{\text{STUM}} \cdot \cos 60^\circ - F_{\mathrm{p}} = 0 \;\Rightarrow\; F_{\mathrm{p}} = 100 \cdot 0{,}5 = 50\,\text{N}\)
Atbilde: kopējais pretestības spēks ir \(50\,\text{N}\).
3. Pļaujmašīna pārvietojas horizontāli, tātad pa vertikāli vērsto spēku summai jābūt vienādai ar nulli.
Pļaujmašīna darbojas uz zemi ar spēku, kas vienāds ar dārznieka pieliktā spēka vertikālās komponentes un smaguma spēka summu.
Saskaņā ar Trešo Ņūtona likumu, uz pļaujmašīnu darbojas tik pat liels balsta normālās reakcijas spēks:
\(F_{\text{BR}} = F_{\text{STUM}} \cdot \sin 60^\circ + F_{\text{sm}} = 100 \cdot 0{,}87 + 20 \cdot 9{,}8 \approx 283\,\text{N}\)
Atbilde: uz pļaujmašīnu darbojas \(283\,\text{N}\) liels normālās reakcijas spēks.
4. Pļaujmašīnu pārvietot ir vieglāk, ja jāpārvar mazāks pretestības spēks. Pretestības spēku var aplūkot kā slīdes berzes spēku.
Stumjot, pļaujmašīnas spiediena spēks uz zemi ir \(F = F_{\text{sm}} + F_{\text{STUM}} \cdot \sin \alpha\), saskaņā ar 3. Ņūtona likumu reakcijas spēks ir tikpat liels. Pretestības (berzes) spēks: \(F_{\mathrm{p.\,stumšana}} = \mu \cdot F_{\mathrm{R}} = \mu \cdot \left( F_{\mathrm{sm}} + F_{\mathrm{STUM}} \cdot \sin \alpha \right)\)
Velkot, pļaujmašīnas spiediena spēks uz zemi ir ir \(F = F_{\text{sm}} - F_{\text{VILK}} \cdot \sin \alpha\), saskaņā ar 3. Ņūtona likumu reakcijas spēks ir tikpat liels. Pretestības (berzes) spēks: \(F_{\mathrm{p.\,stumšana}} = \mu \cdot F_{\mathrm{R}} = \mu \cdot \left( F_{\mathrm{sm}} + F_{\mathrm{VILK}} \cdot \sin \alpha \right)\), tātad mazāks, kā stumjot.
Secinājums – vilkt ir vieglāk.
Tā kā uzdevumā teikts, ka pļāvēja pieliktais spēks abos gadījumos ir skaitliski vienāds (\(F_{\mathrm{STUM}} = F_{\mathrm{VILK}}\)) un viņa pieliktā spēka horizontālā komponente nemainās, velkot samazinās pretestības spēks, tādēļ pļaujmašīnas kustība kļūst paātrināta.
1. Vērtēšanas kritēriji
Vērtē līmeņos
3 punkti: attēloti, apzīmēti un nosaukti visi trīs pļaujmašīnai pielikti spēki.
2 punkti: attēloti, apzīmēti un nosaukti divi pļaujmašīnai pielikti spēki vai attēloti trīs spēki, bet trūkst apzīmējumi vai nosaukumi.
1 punkts: attēlots un nosaukts viens pļaujmašīnai pieliktais spēks.
0 punktu: spēki nav attēloti vai attēloti spēki, bet trūkst nosaukumi un apzīmējumi.
Skolēnu risinājumu un to vērtējumu piemēri
1. piemērs: risinājums novērtēts ar 3 punktiem.

2. piemērs: risinājums novērtēts ar 3 punktiem.

3. piemērs: risinājums novērtēts ar 2 punktiem. Nepareizs dārznieka pieliktā spēka virziens.

4. piemērs: risinājums novērtēts ar 1 punktu. Ieskaita tikai smaguma spēku.Ļoti neliels Arhimēda spēks gaisā teorētiski darbojas, bet to neieskaita kā ļoti nebūtisku. Šajā gadījumā tas nav arī pielikts pļaujmašīnai.

5. piemērs: risinājums novērtēts ar 0 punktu.

2. Vērtēšanas kritēriji
• Parāda, ka vienmērīgā kustībā horizontāli vērstie spēki ir skaitliski vienādi – 1 punkts
• Aprēķina pretestības spēku, parādot risinājumu – 1 punkts.
Skolēnu risinājumu un to vērtējumu piemēri
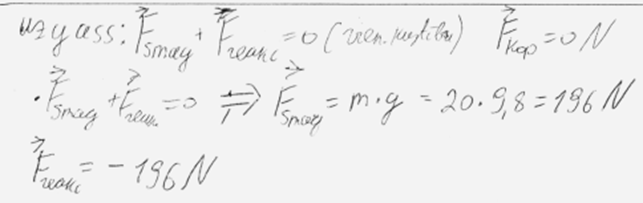
1. piemērs: risinājums novērtēts ar 2 punktiem.

2. piemērs: risinājums novērtēts ar 1 punktu. Nav pamatots, ka horizontāli vērstie spēki vienādi.

3. piemērs: risinājums novērtēts ar 0 punktu.
![]()
3. Vērtēšanas kritēriji
Vērtē līmeņos
2 punkti: ar formulu vai skaitliski uzraksta izteiksmi un aprēķina reakcijas spēku.
1 punkts: ar formulu vai skaitliski uzraksta izteiksmi, skaitliskais aprēķins nepareizs vai reakcijas spēku pielīdzina smaguma spēkam.
0 punktu: risinājuma nav vai tas ir nepareizs.
Skolēnu risinājumu un to vērtējumu piemēri
1. piemērs: risinājums novērtēts ar 2 punktiem.

2. piemērs: risinājums novērtēts ar 1 punktu. Pieņemts, ka balsta reakcijas spēks vienāds ar smaguma spēku.

3. piemērs: risinājums novērtēts ar 0 punktu.

4. Vērtēšanas kritēriji
Vērtē līmeņos
3 punktu atbilde iekļauj trīs soļus:
• parāda, ka velkot jāpārvar mazāku pretestības spēku, jo samazinās reakcijas spēks;
• pamato, kādēļ velkot reakcijas spēks ir mazāks;
• saista mazāku pretestības spēku ar vieglāku vilkšanu.
2 punkti: atbilde iekļauj divus soļus.
1 punkts: atbilde iekļauj vienu soli.
0 punktu: risinājuma nav vai tas ir nepareizs.
Skolēnu risinājumu un to vērtējumu piemēri
1. piemērs: risinājums novērtēts ar 3 punktiem.

2. piemērs: risinājums novērtēts ar 2 punktiem. Nesaista mazāku berzes spēku ar vieglāku vilkšanu.

3. piemērs: risinājums novērtēts ar 1 punktu. Ir aplūkota reakcijas spēka samazināšanās, bet tā nav saistīta ar pretestības spēka izmaiņu.

4. piemērs: risinājums novērtēts ar 0 punktu.
