Galvanisko elementu izgatavoja, iespraužot kartupelī vara un cinka plāksnes. Lai pētītu iegūtā galvaniskā elementa raksturlielumus, skolēni izveidoja elektrisko ķēdi pēc dotās shēmas.

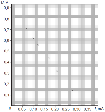
1. Grafikā attēloti pētījumā iegūtie dati. Nosaki kartupeļa kā galvaniskā elementa EDS, īsslēguma strāvu un iekšējo pretestību! (4 punkti)

2. Kādēļ visām pētījumā iegūtajām sprieguma vērtībām ir jābūt mazākām par galvaniskā elementa EDS vērtību? (1 punkts)
3. Pamato, kādēļ, pārvietojot reostata slīdkontaktu pa labi, pētījumā iegūtais spriegums pieaug! (3 punkti)
4. Lai gaismas diode (LED) darbotos, tai nepieciešams vismaz 1,6 V spriegums un 20 mA liels strāvas stiprums. Ģirts nolēma izmantot divus virknē saslēgtus kartupeļa galvaniskos elementus kā gaismas diodes strāvas avotu. Anna iebilda, ka gaismas diode nedarbosies. Pamato, kāpēc Annai ir taisnība! (2 punkti)
1. Šis ir uzdevums par Oma likumu pilnai (noslēgtai) ķēdei. Atbilstošā sakarība atrodama fizikas formulu lapā: \(I = \frac{\mathcal{E}}{R + r}\). Tātad \(\mathcal{E} = I(R + r) = IR + Ir = U + Ir.\)
Grafikā attēlota sprieguma uz ārējās ķēdes atkarība no strāvas stipruma ķēdē, kura mainās līdz ar ārējās ķēdes pretestību.
Jāsaprot, ka šoreiz tieši strāvas stiprums ķēdē ir neatkarīgais lielumums, kuru maina pētnieks, bet spriegums uz ārējās ķēdes (reostata), ir atkarīgais lielums.
Datu punkti iegūti, iespēju robežās mainot reostata pretestību. Redzams, ka šie punkti, ievērojot mērījumu kļūdas, novietojas uz vienas taisnes.

Īsslēguma strāva ir strāva, kas pūst ķēdē, ja ārējā pretestība vienāda ar nulli: \(R = 0\,\Omega\) un, tātad, arī spriegums \(U = IR = 0\,\text{V}\). Tā kā arī vadiem ir noteikta elektriskā pretestība, ķēdes ārējā pretestība nebūs vienāda ar nulli pat tad, ja reostata pretestība kļūs vienāda ar nulli. Tomēr īsslēguma strāvas vērtību var iegūt, turpinot taisni līdz vērtībai \(U = 0\,\text{V}\) (krustpunktam ar strāvas stipruma \(I\) asi).
Saprotams, ka pieaugot slēguma kopējai pretestībai (tātad – ārējai pretestībai \(R\)), strāvas stiprums samazinās. Ja slēguma pretestība kļūst bezgalīgi liela, strāvas stiprums kļūst vienāds ar nulli un \(\mathcal{E} = U.\) Pārvietojot reostata slīdkontaktu nav iespējams panākt šādu situāciju, kad ārējās ķēdes pretestība ir bezgalīgi liela, tomēr EDS vērtību var iegūt, turpinot taisni līdz krustpunktam ar sprieguma \(U\) asi – situācijai, kad strāvas stipruma vērtība vienāda ar nulli.
Eksperimentāli EDS var izmērīt, pieslēdzot voltmetru strāvas avota spailēm situācijā, kad ārējā ķēde nav pieslēgta.
Iekšējo pretestību \(r\) aprēķina, izmantojot iegūtās EDS un \(I_\mathrm{īs}\) vērtības: Ja \(R = 0\,\Omega\), tad \(\mathcal{E} =I_\mathrm{īs}r\).
Tātad šajā uzdevumā:
- novelk grafiku caur punktiem – taisni;
- EDS nolasa no grafika krustpunktā ar sprieguma asi: 0,89 V (var pieņemt robežās 0,88 V – 0,91 V);
- īsslēguma strāvu \(I_\mathrm{īs}\) nolasa grafika krustpunktā ar strāvas asi: 0,33 mA (robežās 0,31 mA – 0,34 mA);
- iekšējā pretestība \(r = \frac{\mathcal{E}}{I_{\text{īs}}} = \frac{0{,}89}{0{,}00033} \approx 2697\,\Omega\).
Iespējams alternatīvs risinājums, izmantojot jebkurus divus grafika punktus un sastādot vienādojumu sistēmu:
\(\begin{cases} \mathcal{E} = U_1 + I_1 r \\ \mathcal{E} = U_2 + I_2 r \end{cases} \qquad \begin{cases} \mathcal{E} = 0{,}71 + 0{,}00007 \cdot r \\ \mathcal{E} = 0{,}14 + 0{,}00028 \cdot r \end{cases} \mathcal{E} = 0{,}9\,\text{V}, \quad r = 2714\,\Omega, \quad I_{\text{īs}} = 0{,}33\,\text{mA}\)
Atbilde: \(\mathcal{E} = 0{,}89\,\text{V}; \quad I_{\text{īs}} = 0{,}33\,\text{mA}; \quad r = \frac{\mathcal{E}}{I_{\text{īs}}} = \frac{0{,}89}{0{,}00033} \approx 2697\,\Omega\)
2. \(\mathcal{E} = U + Ir\). Voltmetrs mēra spriegumu \(U\). Kartupelim ir nozīmīga iekšējā pretestība \(r\), kā arī visas pētījumā izmērītās strāvas stipruma vērtības (atbilstoši datu punktiem) ir lielāks par nulli, tātad reizinājums \(Ir>0\) un \(\mathcal{E}>U\).
3. \(\mathcal{E} = U + Ir=IR+Ir\). Pārvietojot slīdkontaktu pa labi, reostata pretestība \(R\) pieaug.
Iekšējo pretestību var uzskatīt par nemainīgu. Pieaugot reostata pretestībai, pieaug spriegums uz reostata.
Aplūkojot situāciju matemātiski:
\(I = \frac{\mathcal{E}}{R + r} \\ U = IR \;\Rightarrow\; U = \frac{\mathcal{E}}{1 + \frac{r}{R}}\)
Palielinoties reostata pretestībai \(R\), izteiksmes saucējs \(1 + \frac{r}{R}\) samazinās, līdz ar ko pētījumā iegūtais spriegums \(U\) palielinās.
4. Lai pamatotu Annas apgalvojumu ir jāzina, ka galvanisko elementu virknes slēgumā summējas kā to EDS, tā arī to iekšējās pretestības \(r\).
Tātad – spriegums varētu būt pietiekams, jo kopējais \(\mathcal{E}\approx 2\cdot0,89\approx1,8\space\text{V}\), tātad lielāks par \(1,6\space\text{V}\).
Savukārt strāvas stiprums noteikti nesasniegs 0,20 mA, jo visstiprākā iespējamā strāva – īsslēguma strāva ir daudzreiz mazāka par šo vērtību. Slēdzot divus vienādus galvaniskos elementus virknē, divkāršojas gan EDS, gan iekšējā pretestība, tātad īsslēguma strāva diviem virknē slēgtiem kartupeļiem būs aptuveni tāda pati kā vienam kartupeļa elementam.
Diode nedarbosies, kā paredzēts.
Diodi nevar aplūkot kā omisku rezistoru, tādēļ aprēķināt diodes pretestību kā \(\frac{U}{I} = \frac{1{,}6}{0{,}02} = 80\,\Omega\) nav korekti. Tomēr šajā uzdevumā neieskaita kļūdu, ja šāds aprēķins izmantots.
1. Vērtēšanas kritēriji
Vērtē līmeņos
Lai iegūtu 4 punktus, risinājumā jāparādās sekojošām darbībām un rezultātiem:
- novelk taisni caur punktiem.
- EDS nolasa taisnes krustpunktā ar sprieguma asi: 0,89 V (robežās 0,87 V – 0,91 V);
- īsslēguma strāvu \(I_\mathrm{īs}\) nolasa taisnes krustpunktā ar strāvas asi – 0,33 mA (robežās 0,31 mA, - 0,34 mA) vai iegūst, izmantojot formulas;
- aprēķina iekšējo pretestību, iegūstot vērtības robežās no 2500 Ω līdz 3000 Ω.
Alternatīvais variants: izmantojot jebkurus divus grafika punktus, sastāda un atrisina vienādojumu sistēmu, aprēķina īsslēguma strāvu.
3 punkti: parādīta risinājuma gaita un iegūtas visu prasīto lielumu vērtības. Neprecizitāte nolasot vērtības no grafika vai aprēķinā.
2 punkti: divi pareizi risinājuma soļi vai divi lielumi noteikti pareizi.
1 punkts: viens pareizs risinājuma solis vai viens lielums noteikts pareizi.
0 punktu: spēki nav attēloti vai attēloti spēki, bet trūkst nosaukumi un apzīmējumi.
Skolēnu risinājumu un to vērtējumu piemēri
1. piemērs: risinājums novērtēts ar 4 punktiem.

2. piemērs: risinājums novērtēts ar 3 punktiem.

3. piemērs: risinājums novērtēts ar 2 punktiem. Iegūti divi lielumi.

4. piemērs: risinājums novērtēts ar 1 punktu. Viens pareizs risinājuma solis.

5. piemērs: risinājums novērtēts ar 0 punktu.

2. Vērtēšanas kritēriji
Atbilde ietver sprieguma kritumu uz iekšējo pretestību un/vai vadiem un/vai ampērmetru – 1 punkts.
Skolēnu risinājumu un to vērtējumu piemēri
1. piemērs: risinājums novērtēts ar 1 punktu.

2. piemērs: risinājums novērtēts ar 1 punktu.

3. piemērs: risinājums novērtēts ar 0 punktu.

3. Vērtēšanas kritēriji
- Nosaka, ka reostata pretestība pieaug – 1 punkts.
- Izmanto Oma likumu noslēgtai ķēdei – 1 punkts.
- Pamato, ka spriegums pieaug, jo iekšējā pretestība nemainās un/vai strāvas stiprums samazinās – 1 punkts.
Skolēnu risinājumu un to vērtējumu piemēri
1. piemērs: risinājums novērtēts ar 3 punktiem.

2. piemērs: risinājums novērtēts ar 2 punktiem. Pareizi noteikts, ka reostata pretestība pieaug, un izmantots Oma likums noslēgtai ķēdei, taču nav korekti pamatots sprieguma pieaugums.

3. piemērs: risinājums novērtēts ar 1 punktu. Pareizi noteikts, ka reostata pretestība pieaug, bet nav izmantots Oma likums pilnai ķēdei.

4. piemērs: risinājums novērtēts ar 0 punktu.

4. Vērtēšanas kritēriji
Vērtē līmeņos
Lai iegūtu 2 punktus, risinājumā jāparādās sekojošām darbībām un rezultātiem:
- izmanto sprieguma avotu virknes slēguma īpašības;
- novērtē virknes slēgumā iespējamās sprieguma un/vai strāvas stipruma vērtības atbilstoši 1. uzdevumā iegūtajām EDS, iekšējās pretestības un/vai īsslēguma strāvas vērtībām;
- pamato, ka diode nedarbojas/darbojas.
1 punkts: izmanto sprieguma avotu virknes slēguma īpašības; novērtē tikai strāvas stipruma vai sprieguma iespējamo vērtību, ja pamatojumam nepieciešamas abas. Vai sajaukts virknes un paralēlais slēgums, bet tam atbilstošie aprēķini un pamatojums pareizi.
0 punktu: risinājuma nav vai tas ir nepareizs.
Skolēnu risinājumu un to vērtējumu piemēri
1. piemērs: risinājums novērtēts ar 2 punktiem.

2. piemērs: risinājums novērtēts ar 2 punktiem.

3. piemērs: risinājums novērtēts ar 1 punktu. Ir izmantotas paralēlslēgumam atbilstošas sakarības.

4. piemērs: risinājums novērtēts ar 0 punktu. Secinājums no nepilnīga, kļūdaina sprieduma.
